|
Sauðfjárræktarfélag Skriðuhrepps vertu velkomin/n á heimasíðu félagsins |
|||||||||||||||||||
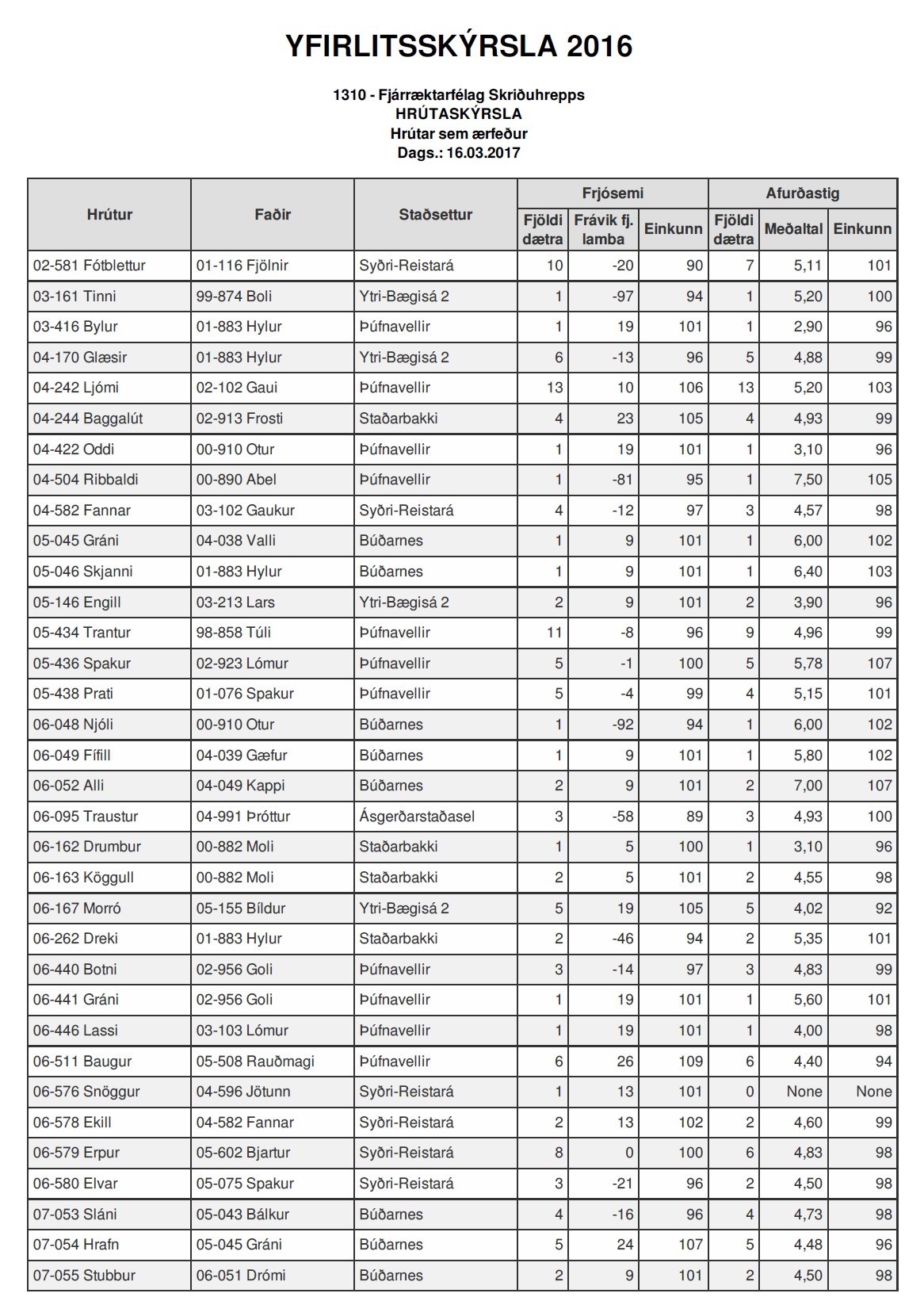
2016 ærfeður
Flettingar í dag: 19 Gestir í dag: 2 Flettingar í gær: 64 Gestir í gær: 6 Samtals flettingar: 101032 Samtals gestir: 18843 Tölur uppfærðar: 18.12.2025 05:35:52 |
clockhere Um félagið Nafn: Sauðfjárræktarfélag SkriðuhreppsFarsími: Unnar Sturluson 779-0269 formaðurTölvupóstfang: drangi@simnet.isAfmælisdagur: Stofnað 17. mars 1964Heimilisfang: ÞúfnavellirStaðsetning: HörgársveitHeimasími: Unnar Sturluson 462-6754 formaðurUm: Vef- og ritstjóri heimasíðunnar er Guðmundur Skúlason s. 846-1589Bankanúmer: 566-04-250446Tenglar
|
||||||||||||||||||
© 2025 123.is | Nýskrá 123.is síðu | Stjórnkerfi 123.is